关于我们
公司简介
企业文化
公司动态
行业动态
加入我们
客户心声
联系我们
产品与服务
产品
多肽产品
目录多肽
科研多肽
新冠病毒多肽合成
标签多肽
PSMA抑制剂
β淀粉样蛋白肽
肿瘤靶向肽
抗菌肽
HRSV人呼吸道合胞病毒多肽
Influenza A virus甲型流感病毒多肽
Varicella zoster virus水痘-带状疱疹病毒多肽
Monkeypox virus猴痘病毒多肽
Adeno-associated virus腺相关病毒多肽
多肽药物
化妆品肽
蛋白产品
重组蛋白
抗体产品
二抗
标签抗体
内参抗体
抗原产品
猴痘病毒重组抗原试剂
多肽试剂
保护氨基酸
佐剂辅料
激动剂
服务
多肽服务
定制多肽
多肽的标记与修饰
Click chemistry
多肽生物素标记
FRET Peptides(荧光能量共振转移)
多肽荧光标记
PEG修饰
二硫键修饰
蛋白偶联
非天然氨基酸
订书肽
环肽
多聚抗原肽
甲基化修饰
多肽非放射性核素标记
磷酸肽多肽合成
多肽Pep-VAS
溶解测试服务
元素分析服务
转盐服务
多肽纯化工艺服务
多肽文库
多肽阵列
质量保证
蛋白表达
原核蛋白表达
哺乳动物细胞蛋白表达
杆状病毒-昆虫表达系统
酵母蛋白表达
抗体服务
纳米抗体定制
单克隆抗体定制
快速单克隆抗体定制
多克隆抗体定制
快速多克隆抗体定制
抗体标记
抗体纯化
基因合成
基因合成服务
引物合成
引物合成服务
其他服务
DNA测序服务
MS检测服务
资源共享
多肽计算器
多肽计算器
多肽阵列计算器
摩尔浓度计算器
分子量计算器
多肽溶解与保存
推荐使用多肽纯度
共享资源下载
FAQS
一站式订购
在线订单
订购指南
福利活动 Hot
CN
/
EN
联系我们
QYAOBIO & Products and Services
产品与服务
产品
服务
首页 - 产品与服务 - 产品 - 佐剂辅料 - 激动剂
2025.04.08
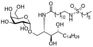
名称
GCS-12-6
结构式
激动剂类型及免疫活性
增强型NKT细胞激动剂,强Th2免疫偏向性,免疫活性显著高于αGalCer
上一页:
TLR7a1
下一页:
GCS-12
置顶