|
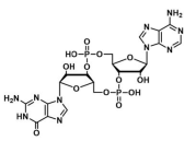
cGAMP |
cGAMP |
|
Name Structure |
|
|
Excitant types and immune activity |
A typical cyclic dinucleotide STING agonist that can effectively activate the innate immune system |


Contact Us