|
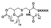
Name |
Pam3CSK4 |
|
Name Structure |
|
|
Excitant types and immune activity |
TLR1/2 agonists can effectively activate innate immunity and enhance antigen immunogenicity |


Contact Us